Code Snippets
To save on cost and latency with Instant Apply, you must prompt the frontier model to create abbreviated snippets. Say we have the following code:Error Rate Comparison
Instant Apply is trained on a wide range of abbreviated edit snippets to make it SoTA for merging code.
- Syntax Errors: Merged code is not syntactically valid. e.g. Missing imports, unclosed brackets, etc.
- Hallucinations: Model included code that was not explicitly defined in the edit snippet.
- Truncations: Merged code didn’t appropriately fill in a
// ... rest of code ...
block.
Speed Benchmarks
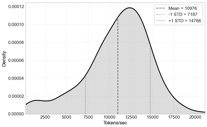
Our model is deployed with speculative decoding on an optimized inference engine that achieves >10,000 tok/s on average.

Comparison to Full File Rewrites
If you are currently doing full file rewrites, Instant Apply will save you on average:- ~3-4x on end-to-end latency
- ~3x on cost of output tokens from frontier models
To learn more about how to integrate to your product, see our guides for workflow and agent pipelines.